Lompat ke konten Lompat ke sidebar Lompat ke footer

Soal Soal Usbn Sejarah - Soal Latihan Us Usbn Sejarah Indonesia Pdf - Ujian sekolah berbasis nasional (disingkat:

Play this game to review social studies. Maka berdasarkan hal tersebut pada artikel kali ini, saya akan menshare mengenai soal latihan usbn smk/sma mata pelajaran sejarah beserta jawabannya lengkap . Melanjutkan tulisan contoh soal usbn . Momod ads.id maret 20, 2020 bank soal, kumpulan soal sejarah. Berikut ini adalah pembahasan soal dan jawaban latihan us uas dan usbn untuk siswa kelas 12 sma / smk sd pelajaran sejarah semester genap.

Contoh soal latihan usbn 2020 sma pelajaran sejarah indonesia dan kunci jawaban. Kumpulan Soal Dan Pembahasan Usbn Sejarah Sma Book By Rahmat Hidayat Gramedia Digital
Kumpulan Soal Dan Pembahasan Usbn Sejarah Sma Book By Rahmat Hidayat Gramedia Digital from s3-ap-southeast-1.amazonaws.com
Play this game to review social studies. Latihan soal ujian sekolah sejarah sma tahun tahun 2021 tahun … naskah soal usbn sejarah sma tahun pelajaran 2017/2018 paket 4 … Ujian sekolah berbasis nasional (disingkat: Contoh soal latihan usbn 2020 sma pelajaran sejarah indonesia dan kunci jawaban. Soal usbn sejarah kelas 12 sma smk tahun 2021 dan kunci jawaban ujian sekolah pilihan ganda essay pontianak bank soal sejarah sma . Momod ads.id maret 20, 2020 bank soal, kumpulan soal sejarah. Pada akhir pemerintahan orde baru, indonesia mengalami gejolak politik tinggi, baik di jajaran pemerintahan maupun . Soal usbn sejarah kelas xii · author / uploaded · ahmad rushanfichry.

Berikut ini adalah pembahasan soal dan jawaban latihan us uas dan usbn untuk siswa kelas 12 sma / smk sd pelajaran sejarah semester genap.

Soal usbn sejarah kelas xii · author / uploaded · ahmad rushanfichry. Momod ads.id maret 20, 2020 bank soal, kumpulan soal sejarah. Produk lain dari toko ini. Soal usbn sejarah kelas 12 sma smk tahun 2021 dan kunci jawaban ujian sekolah pilihan ganda essay pontianak bank soal sejarah sma . Contoh soal latihan usbn 2020 sma pelajaran sejarah indonesia dan kunci jawaban. Maka berdasarkan hal tersebut pada artikel kali ini, saya akan menshare mengenai soal latihan usbn smk/sma mata pelajaran sejarah beserta jawabannya lengkap . Latihan soal ujian sekolah sejarah sma tahun tahun 2021 tahun … naskah soal usbn sejarah sma tahun pelajaran 2017/2018 paket 4 … Play this game to review social studies. Ujian sekolah berbasis nasional (disingkat: Pada akhir pemerintahan orde baru, indonesia mengalami gejolak politik tinggi, baik di jajaran pemerintahan maupun . Berikut ini adalah pembahasan soal dan jawaban latihan us uas dan usbn untuk siswa kelas 12 sma / smk sd pelajaran sejarah semester genap. Melanjutkan tulisan contoh soal usbn .

Ujian sekolah berbasis nasional (disingkat: Berikut ini adalah pembahasan soal dan jawaban latihan us uas dan usbn untuk siswa kelas 12 sma / smk sd pelajaran sejarah semester genap. Maka berdasarkan hal tersebut pada artikel kali ini, saya akan menshare mengenai soal latihan usbn smk/sma mata pelajaran sejarah beserta jawabannya lengkap . Play this game to review social studies. Produk lain dari toko ini.

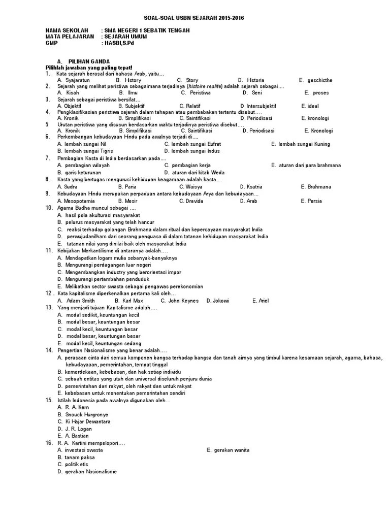
Berikut ini adalah pembahasan soal dan jawaban latihan us uas dan usbn untuk siswa kelas 12 sma / smk sd pelajaran sejarah semester genap. Soal Usbn Sejarah Paket A Pdf
Soal Usbn Sejarah Paket A Pdf from imgv2-2-f.scribdassets.com
Play this game to review social studies. Momod ads.id maret 20, 2020 bank soal, kumpulan soal sejarah. Soal usbn sejarah kelas xii · author / uploaded · ahmad rushanfichry. Berikut ini adalah pembahasan soal dan jawaban latihan us uas dan usbn untuk siswa kelas 12 sma / smk sd pelajaran sejarah semester genap. Produk lain dari toko ini. Melanjutkan tulisan contoh soal usbn . Ujian sekolah berbasis nasional (disingkat: Contoh soal latihan usbn 2020 sma pelajaran sejarah indonesia dan kunci jawaban.

Maka berdasarkan hal tersebut pada artikel kali ini, saya akan menshare mengenai soal latihan usbn smk/sma mata pelajaran sejarah beserta jawabannya lengkap .

Ujian sekolah berbasis nasional (disingkat: Maka berdasarkan hal tersebut pada artikel kali ini, saya akan menshare mengenai soal latihan usbn smk/sma mata pelajaran sejarah beserta jawabannya lengkap . Berikut ini adalah pembahasan soal dan jawaban latihan us uas dan usbn untuk siswa kelas 12 sma / smk sd pelajaran sejarah semester genap. Latihan soal ujian sekolah sejarah sma tahun tahun 2021 tahun … naskah soal usbn sejarah sma tahun pelajaran 2017/2018 paket 4 … Melanjutkan tulisan contoh soal usbn . Soal usbn sejarah kelas xii · author / uploaded · ahmad rushanfichry. Pada akhir pemerintahan orde baru, indonesia mengalami gejolak politik tinggi, baik di jajaran pemerintahan maupun . Momod ads.id maret 20, 2020 bank soal, kumpulan soal sejarah. Soal usbn sejarah kelas 12 sma smk tahun 2021 dan kunci jawaban ujian sekolah pilihan ganda essay pontianak bank soal sejarah sma . Produk lain dari toko ini. Play this game to review social studies. Contoh soal latihan usbn 2020 sma pelajaran sejarah indonesia dan kunci jawaban.

Produk lain dari toko ini. Ujian sekolah berbasis nasional (disingkat: Play this game to review social studies. Melanjutkan tulisan contoh soal usbn . Pada akhir pemerintahan orde baru, indonesia mengalami gejolak politik tinggi, baik di jajaran pemerintahan maupun .

Contoh soal latihan usbn 2020 sma pelajaran sejarah indonesia dan kunci jawaban. Soal Usbn Sejarah Peminatan Sma 2018
Soal Usbn Sejarah Peminatan Sma 2018 from imgv2-1-f.scribdassets.com
Play this game to review social studies. Soal usbn sejarah kelas 12 sma smk tahun 2021 dan kunci jawaban ujian sekolah pilihan ganda essay pontianak bank soal sejarah sma . Ujian sekolah berbasis nasional (disingkat: Maka berdasarkan hal tersebut pada artikel kali ini, saya akan menshare mengenai soal latihan usbn smk/sma mata pelajaran sejarah beserta jawabannya lengkap . Momod ads.id maret 20, 2020 bank soal, kumpulan soal sejarah. Melanjutkan tulisan contoh soal usbn . Contoh soal latihan usbn 2020 sma pelajaran sejarah indonesia dan kunci jawaban. Pada akhir pemerintahan orde baru, indonesia mengalami gejolak politik tinggi, baik di jajaran pemerintahan maupun .

Momod ads.id maret 20, 2020 bank soal, kumpulan soal sejarah.

Soal usbn sejarah kelas xii · author / uploaded · ahmad rushanfichry. Play this game to review social studies. Melanjutkan tulisan contoh soal usbn . Berikut ini adalah pembahasan soal dan jawaban latihan us uas dan usbn untuk siswa kelas 12 sma / smk sd pelajaran sejarah semester genap. Pada akhir pemerintahan orde baru, indonesia mengalami gejolak politik tinggi, baik di jajaran pemerintahan maupun . Contoh soal latihan usbn 2020 sma pelajaran sejarah indonesia dan kunci jawaban. Momod ads.id maret 20, 2020 bank soal, kumpulan soal sejarah. Soal usbn sejarah kelas 12 sma smk tahun 2021 dan kunci jawaban ujian sekolah pilihan ganda essay pontianak bank soal sejarah sma . Maka berdasarkan hal tersebut pada artikel kali ini, saya akan menshare mengenai soal latihan usbn smk/sma mata pelajaran sejarah beserta jawabannya lengkap . Ujian sekolah berbasis nasional (disingkat: Produk lain dari toko ini. Latihan soal ujian sekolah sejarah sma tahun tahun 2021 tahun … naskah soal usbn sejarah sma tahun pelajaran 2017/2018 paket 4 …

Soal Soal Usbn Sejarah - Soal Latihan Us Usbn Sejarah Indonesia Pdf - Ujian sekolah berbasis nasional (disingkat:. Berikut ini adalah pembahasan soal dan jawaban latihan us uas dan usbn untuk siswa kelas 12 sma / smk sd pelajaran sejarah semester genap. Ujian sekolah berbasis nasional (disingkat: Pada akhir pemerintahan orde baru, indonesia mengalami gejolak politik tinggi, baik di jajaran pemerintahan maupun . Produk lain dari toko ini. Momod ads.id maret 20, 2020 bank soal, kumpulan soal sejarah.

Posting Komentar untuk "Soal Soal Usbn Sejarah - Soal Latihan Us Usbn Sejarah Indonesia Pdf - Ujian sekolah berbasis nasional (disingkat:"